精準監測溶氧變化:PyroScience PICO-O₂-SUB 於海洋探測中的高速反應表現
海洋溶氧濃度是評估海洋生態健康與氣候變遷影響的重要指標。為了獲得高準確度的即時數據,感測器的「反應時間(response time)」成為影響量測品質的關鍵因素。
由美國麻省理工學院與伍茲霍爾海洋研究所(MIT-WHOI)共同主導的研究團隊近期於 Limnology and Oceanography: Methods 發表新研究,系統性比較了四款未加壓流(unpumped)式光學溶氧感測器的反應時間,包括 Aanderaa 4330、Aanderaa 4330 WTW、RBRcoda T.ODOjslow,以及 PyroScience PICO-O₂-SUB。

圖 1.
(a) 水槽式實驗反應時間測試裝置示意圖,標示出主要元件。插圖顯示其他關鍵元件的放大細節。
(b) 安裝於水槽中的多組光學氧氣感測器(optodes)支架。
(c) 多組光學氧氣感測器支架放置於校正平台的恆溫夾套水槽中進行平衡(溫度控制)。
(d) 多組光學氧氣感測器支架放置於校正平台的恆溫夾套水槽中進行平衡,並加上保護蓋。
結果顯示:
✅ PICO-O₂-SUB 具備最快速的反應時間(約 1–4 秒)
✅ 相較其他品牌(15–100 秒不等),其速度提升達數十倍
✅ 於不同流速及溫度條件下皆能維持穩定且可預測的反應特性

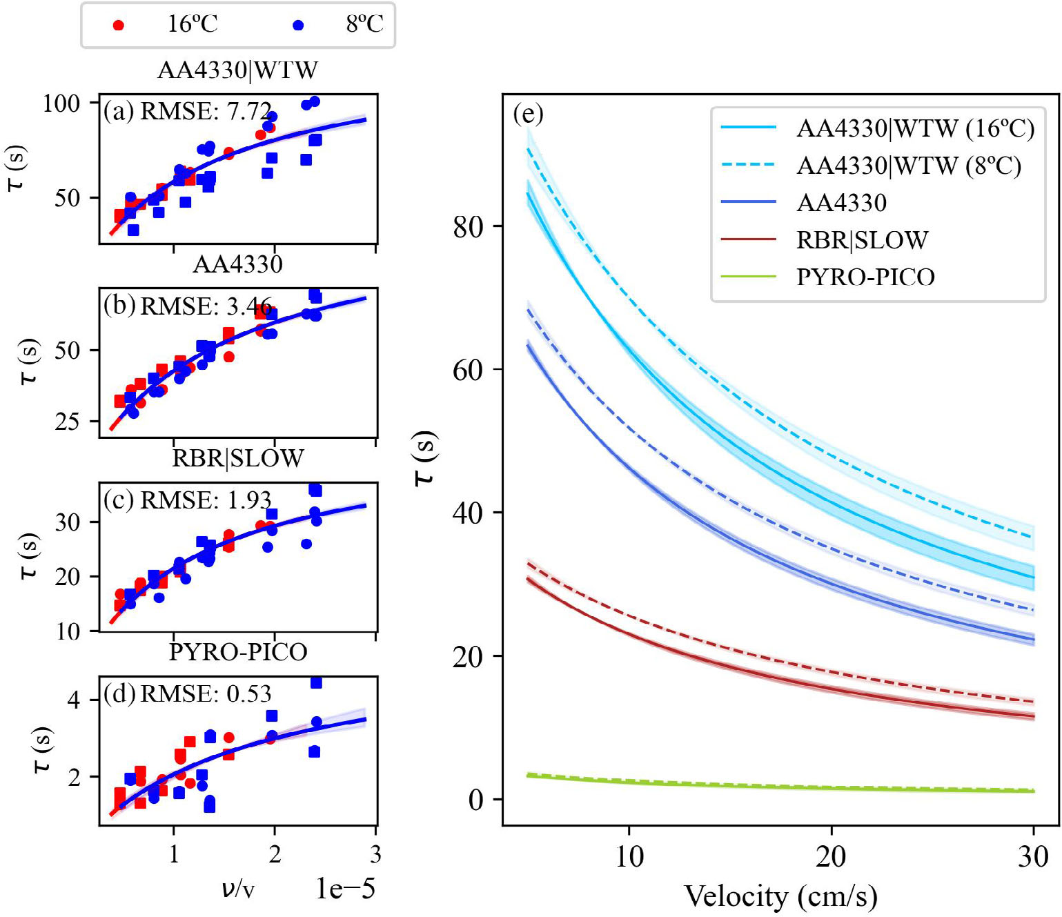
圖 2.
(a–d) 各類光學氧氣感測器(optode)在不同溫度下(紅色:16°C;藍色:8°C)之反應時間(τ),與黏滯係數(υ)與流速(v)之比值的關係。
圖中不同形狀的標記(圓形、方形)代表個別感測器。
實線為經驗擬合曲線,附帶的 RMSE(均方根誤差) 單位為秒;陰影區域表示擬合參數的 ±1 標準差範圍。
(e) 各類光學氧氣感測器的反應時間(τ)與流速倒數的經驗擬合結果。
線條樣式代表溫度條件(實線:16°C;虛線:8°C),陰影區域同樣表示擬合參數的 ±1 標準差範圍。

圖3.
四種不同光學氧氣感測器(optode)的反應時間(τ),隨溫度與流速變化的關係:
Aanderaa 4330W(AA4330jWTW)、Aanderaa 4330、RBRcoda T.ODOjslow(RBRjSLOW),以及 PyroScience PICO-O2-SUB(PYRO-PICO)。
實驗條件涵蓋:
溫度範圍:2°C 至 38°C
流速範圍:3 至 25 cm/s
鹽度固定為 35
此圖展示各感測器在不同水體條件下的反應時間變化,用以比較不同設計與技術間的溫度與流速敏感度差異。
這項成果突顯了 PyroScience REDFLASH® 光學技術的優勢,其高靈敏度與低漂移特性,讓感測器能即時追蹤水中氧氣變化,特別適用於自動剖面浮標(profiling floats)、滑翔機(gliders)及其他海洋觀測平台。
研究同時指出,PICO-O₂-SUB 的快速響應特性不僅降低量測延遲誤差,也有助於提升垂直氧氣梯度解析度,為未來全球海洋溶氧監測網(BGC-Argo)提供更高品質的資料。
本研究採用之 PyroScience 技術:
PICO-O₂-SUB: 光學溶氧模組(OEM版本)
OXCAP-SUB: 防護型水下感測帽
REDFLASH® 技術: 提供穩定、低耗能、高精度的光學測量
身為 PyroScience 的合作夥伴,我們將持續協助台灣科研單位導入更高效、更精確的水質監測技術,支持海洋研究邁向新階段。
資料來源:PyroScience 官方網站